Официальное опубликование правовых актов
ОФИЦИАЛЬНОЕ ОПУБЛИКОВАНИЕ
Постановление Администрации Ненецкого автономного округа от 30.07.2018 № 183-п
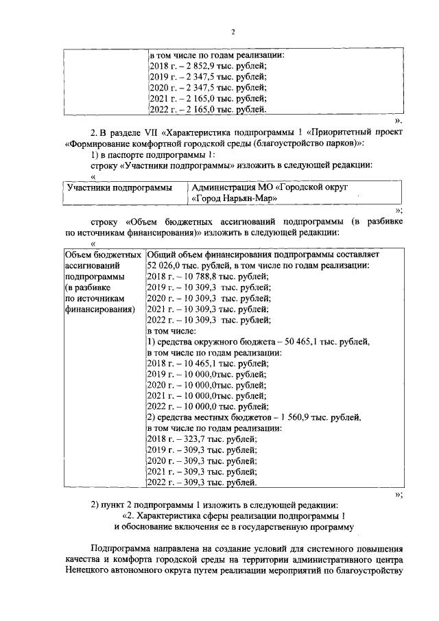
"О внесении изменений в государственную программу Ненецкого автономного округа "Формирование современной городской среды Ненецкого автономного округа"
Номер опубликования: 8300201807300011
Дата опубликования: 30.07.2018
Страница №3 из 49:
Увеличить