Официальное опубликование правовых актов
ОФИЦИАЛЬНОЕ ОПУБЛИКОВАНИЕ
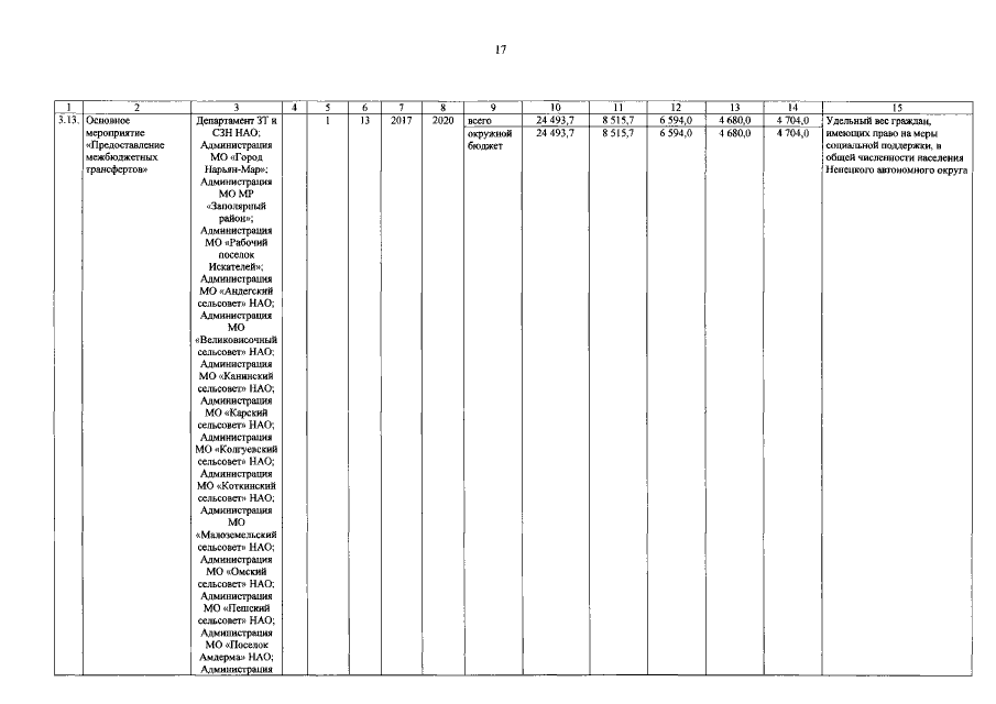
Постановление Администрации Ненецкого автономного округа от 16.04.2018 № 81-п
"О внесении изменений в государственную программу Ненецкого автономного округа "Социальная поддержка граждан в Ненецком автономном округе"
Номер опубликования: 8300201804170001
Дата опубликования: 17.04.2018
Страница №18 из 27:
Увеличить