Официальное опубликование правовых актов
ОФИЦИАЛЬНОЕ ОПУБЛИКОВАНИЕ
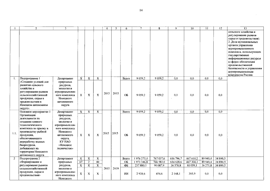
Постановление Администрации Ненецкого автономного округа от 13.03.2018 № 48-п
"О внесении изменений в государственную программу Ненецкого автономного округа "Развитие сельского хозяйства и регулирование рынков сельскохозяйственной продукции, сырья и продовольствия в Ненецком автономном округе"
Номер опубликования: 8300201803140001
Дата опубликования: 14.03.2018
Страница №15 из 32:
Увеличить