Официальное опубликование правовых актов
ОФИЦИАЛЬНОЕ ОПУБЛИКОВАНИЕ
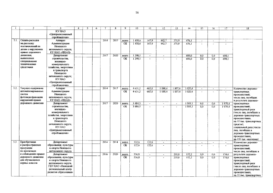
Постановление Администрации Ненецкого автономного округа от 26.12.2017 № 390-п
"О внесении изменений в государственную программу Ненецкого автономного округа "Обеспечение общественного порядка, противодействие преступности, терроризму, экстремизму и коррупции в Ненецком автономном округе"
Номер опубликования: 8300201712270001
Дата опубликования: 27.12.2017
Страница №17 из 31:
Увеличить