Официальное опубликование правовых актов
ОФИЦИАЛЬНОЕ ОПУБЛИКОВАНИЕ
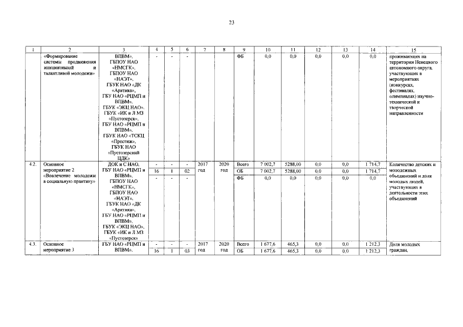
Постановление Администрации Ненецкого автономного округа от 27.10.2017 № 325-п
"О внесении изменений в государственную программу Ненецкого автономного округа "Молодежь Ненецкого автономного округа"
Номер опубликования: 8300201711010005
Дата опубликования: 01.11.2017
Страница №24 из 27:
Увеличить