Официальное опубликование правовых актов
ОФИЦИАЛЬНОЕ ОПУБЛИКОВАНИЕ
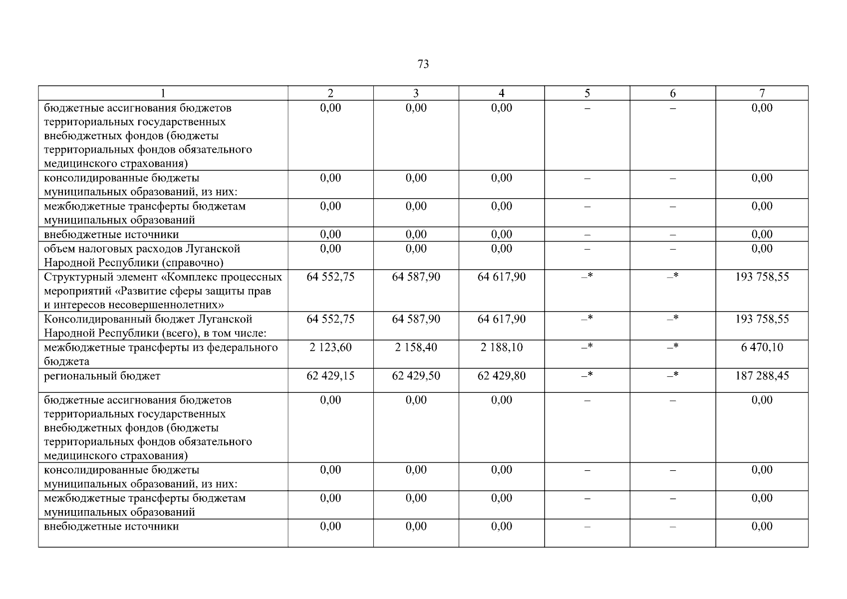
Постановление Правительства Луганской Народной Республики от 24.04.2026 № 92/26
"О внесении изменений в государственную программу Луганской Народной Республики "Развитие образования", утвержденную постановлением Правительства Луганской Народной Республики от 14.10.2025 № 213/25"
Номер опубликования: 8100202604240007
Дата опубликования: 24.04.2026
Страница №74 из 231:
Увеличить