Официальное опубликование правовых актов
ОФИЦИАЛЬНОЕ ОПУБЛИКОВАНИЕ
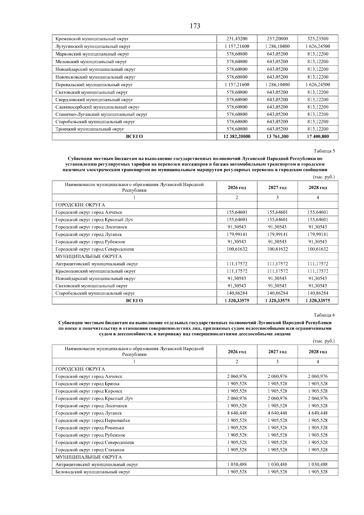
Закон Луганской Народной Республики от 20.04.2026 № 257-I
"О внесении изменений в Закон Луганской Народной Республики "О бюджете Луганской Народной Республики на 2026 год и на плановый период 2027 и 2028 годов"
Номер опубликования: 8100202604210001
Дата опубликования: 21.04.2026
Страница №173 из 191:
Увеличить