Официальное опубликование правовых актов
ОФИЦИАЛЬНОЕ ОПУБЛИКОВАНИЕ
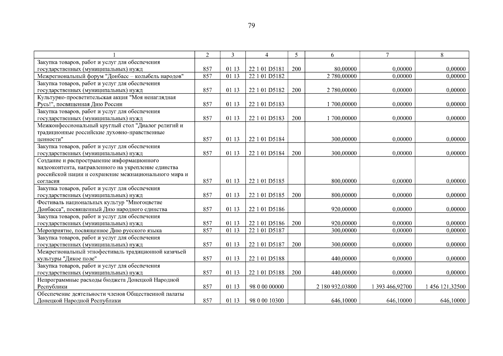
Закон Донецкой Народной Республики от 17.04.2026 № 271-РЗ
"О внесении изменений в Закон Донецкой Народной Республики "О бюджете Донецкой Народной Республики на 2026 год и на плановый период 2027 и 2028 годов"
Номер опубликования: 8000202604240001
Дата опубликования: 24.04.2026
Страница №79 из 272:
Увеличить