Официальное опубликование правовых актов
ОФИЦИАЛЬНОЕ ОПУБЛИКОВАНИЕ
Постановление правительства Еврейской автономной области от 29.10.2019 № 368-пп
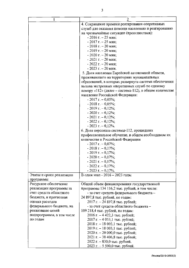
"О внесении изменений в постановление правительства Еврейской автономной области от 23.10.2015 № 476-пп "О государственной программе Еврейской автономной области "Построение на территории Еврейской автономной области аппаратно-программного комплекса технических средств "Безопасный город" на 2016 - 2021 годы"
Номер опубликования: 7900201911050009
Дата опубликования: 05.11.2019
Страница №4 из 65:
Увеличить