Официальное опубликование правовых актов
ОФИЦИАЛЬНОЕ ОПУБЛИКОВАНИЕ
Распоряжение правительства Еврейской автономной области от 08.06.2018 № 197-рп
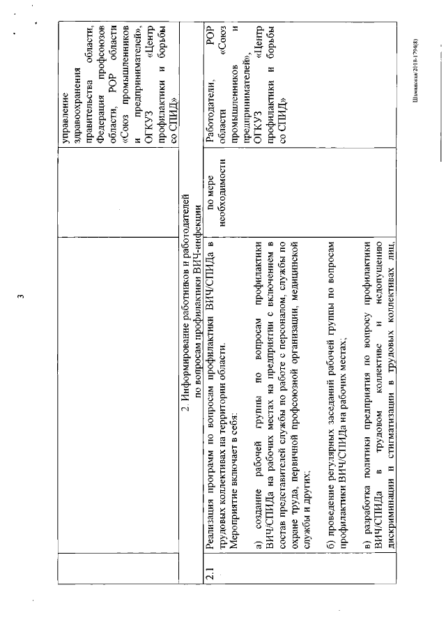
"Об утверждении Плана мероприятий ("дорожной карты") по реализации программ по профилактике ВИЧ/СПИДа на рабочих местах и недопущению дискриминации и стигматизации в трудовых коллективах лиц, живущих с ВИЧ-инфекцией"
Номер опубликования: 7900201806140001
Дата опубликования: 14.06.2018
Страница №4 из 9:
Увеличить