Официальное опубликование правовых актов
ОФИЦИАЛЬНОЕ ОПУБЛИКОВАНИЕ
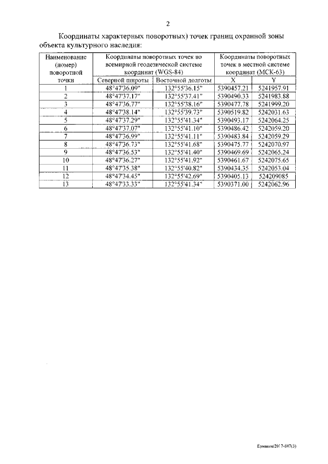
Постановление правительства Еврейской автономной области от 03.05.2018 № 147-пп
"Об утверждении границ зон охраны, особых режимов использования земель и требований к градостроительным регламентам в границах территорий данных зон объектов культурного наследия (памятников истории и культуры) народов Российской Федерации, расположенных на территории Еврейской автономной области"
Номер опубликования: 7900201805080005
Дата опубликования: 08.05.2018
Страница №45 из 54:
Увеличить