Официальное опубликование правовых актов
ОФИЦИАЛЬНОЕ ОПУБЛИКОВАНИЕ
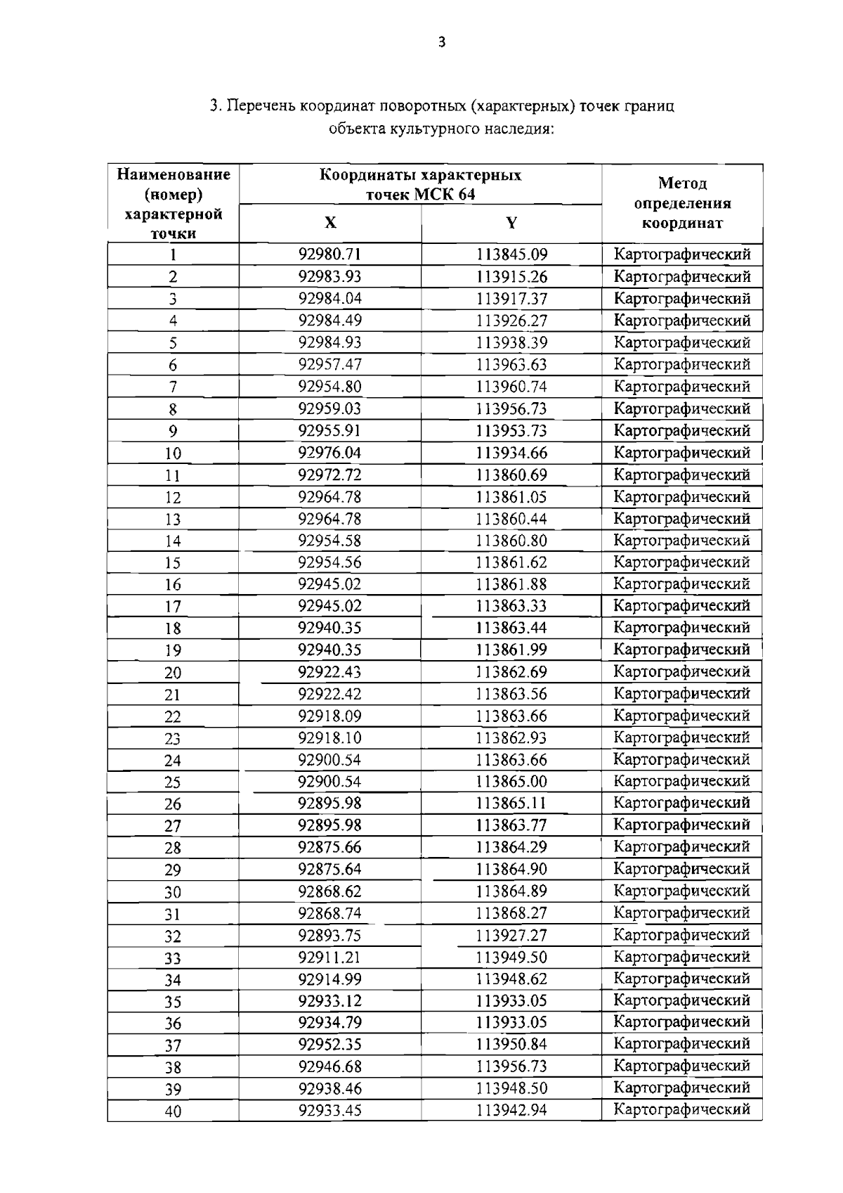
Распоряжение Комитета по государственному контролю, использованию и охране памятников истории и культуры от 16.12.2025 № 383-рп
"О внесении изменения в распоряжение КГИОП от 21.08.2017 № 393-р"
(Зарегистрирован 17.12.2025 № 51463)
Номер опубликования: 7801202512190001
Дата опубликования: 19.12.2025
Страница №4 из 6:
Увеличить