Официальное опубликование правовых актов
ОФИЦИАЛЬНОЕ ОПУБЛИКОВАНИЕ
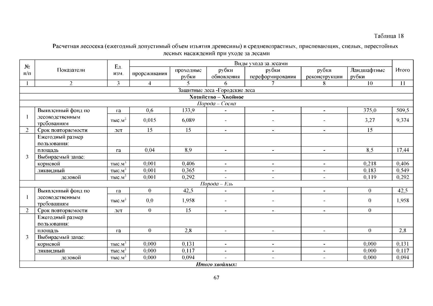
Распоряжение Комитета по благоустройству Санкт-Петербурга от 02.04.2025 № 142-р
"Об утверждении лесохозяйственного регламента Курортного лесничества Санкт-Петербурга"
(Зарегистрирован 12.05.2025 № 50353)
Номер опубликования: 7801202505120006
Дата опубликования: 12.05.2025
Страница №68 из 190:
Увеличить