Официальное опубликование правовых актов
ОФИЦИАЛЬНОЕ ОПУБЛИКОВАНИЕ
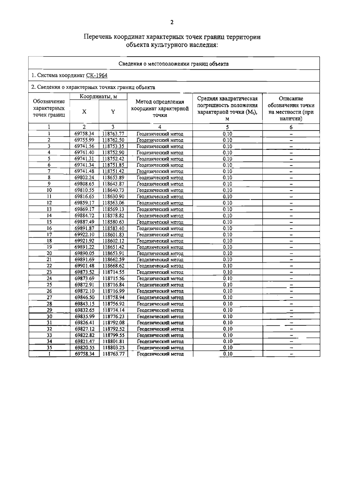
Распоряжение Комитета по государственному контролю, использованию и охране памятников истории и культуры Санкт-Петербурга от 16.05.2024 № 630-рп
"Об утверждении границ и режима использования территории объекта культурного наследия федерального значения "Оранжерея Большая"
(Зарегистрирован 16.05.2024 № 47821)
Номер опубликования: 7801202405170022
Дата опубликования: 17.05.2024
Страница №4 из 5:
Увеличить