Официальное опубликование правовых актов
ОФИЦИАЛЬНОЕ ОПУБЛИКОВАНИЕ
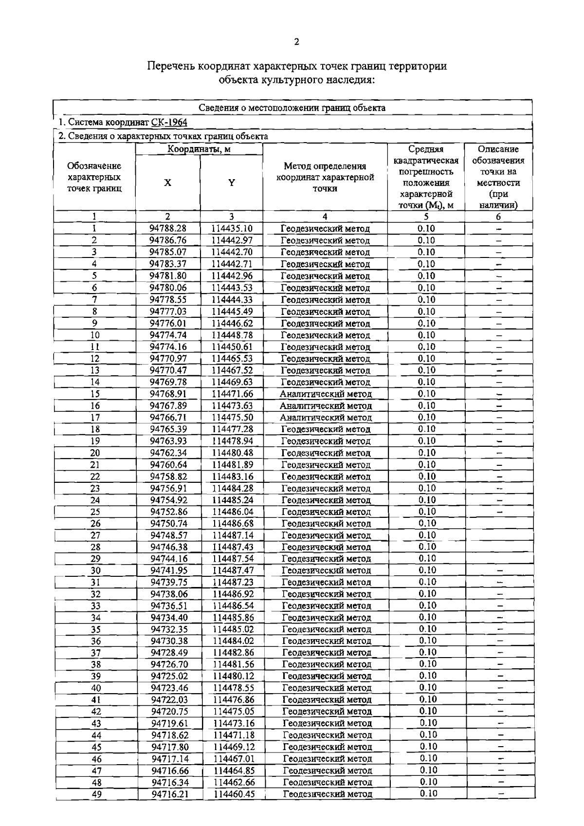
Распоряжение Комитета по государственному контролю, использованию и охране памятников истории и культуры Санкт-Петербурга от 04.04.2024 № 423-рп
"Об утверждении границ и режима использования территории объекта культурного наследия федерального значения "Собор Воскресения Христова ("Спас на крови")"
(Зарегистрирован 05.04.2024 № 37446)
Номер опубликования: 7801202404090032
Дата опубликования: 09.04.2024
Страница №4 из 8:
Увеличить