Официальное опубликование правовых актов
ОФИЦИАЛЬНОЕ ОПУБЛИКОВАНИЕ
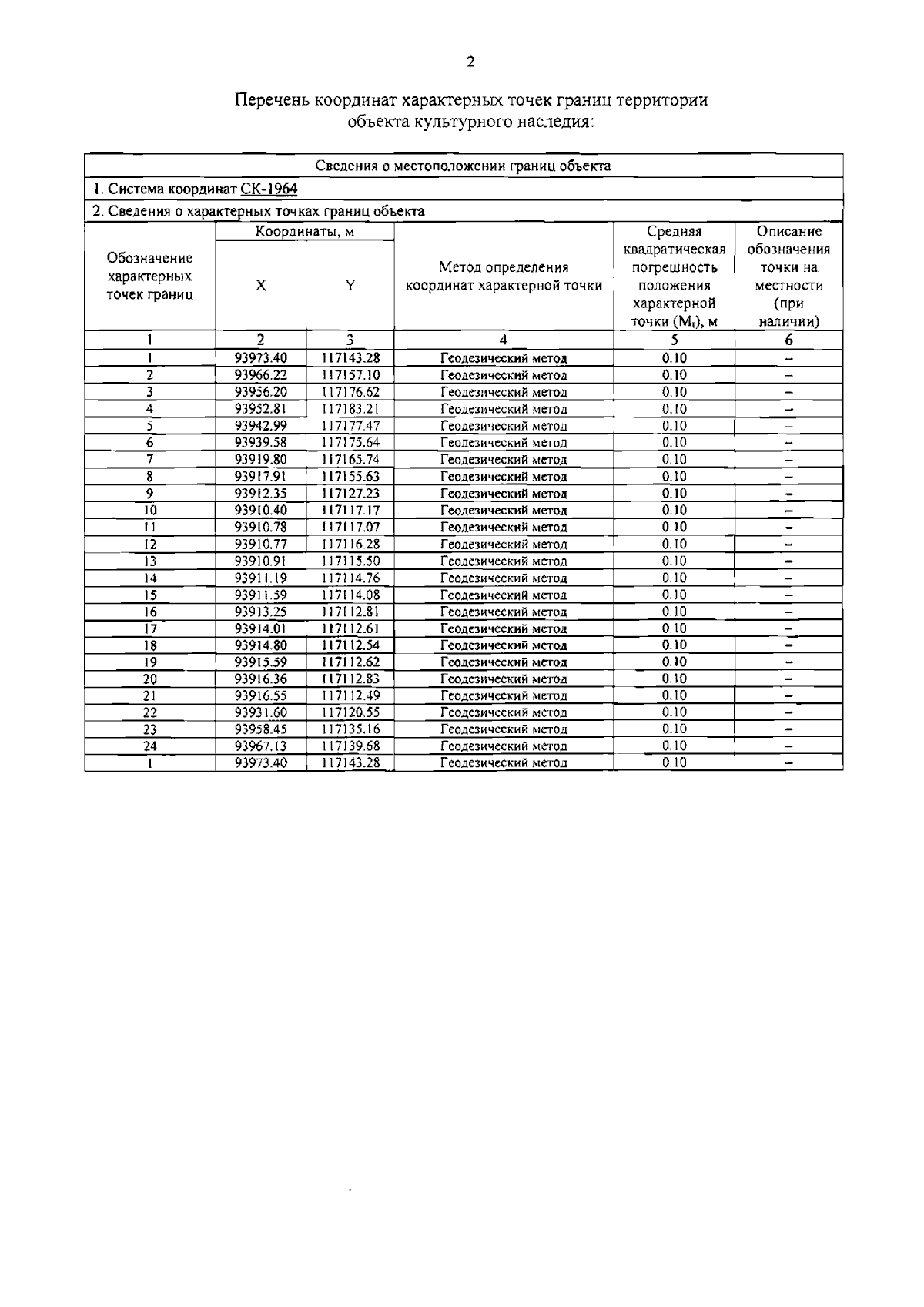
Распоряжение Комитета по государственному контролю, использованию и охране памятников истории и культуры Санкт-Петербурга от 15.02.2024 № 204-рп
"Об утверждении границ и режима использования территории объекта культурного наследия регионального значения "Дом П.М. Станового"
(Зарегистрирован 16.02.2024 № 37013)
Номер опубликования: 7801202402200011
Дата опубликования: 20.02.2024
Страница №4 из 5:
Увеличить