Официальное опубликование правовых актов
ОФИЦИАЛЬНОЕ ОПУБЛИКОВАНИЕ
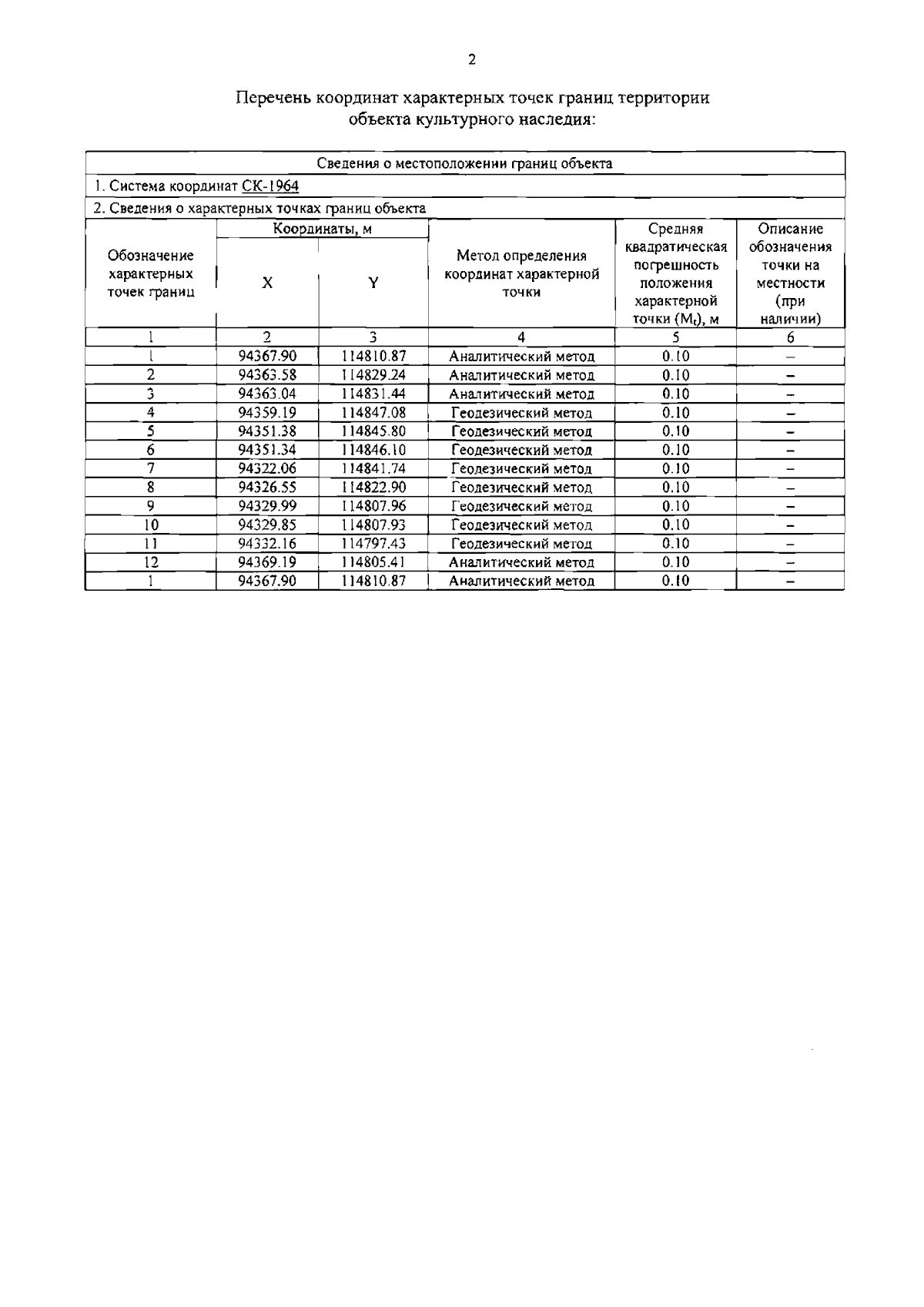
Распоряжение Комитета по государственному контролю, использованию и охране памятников истории и культуры Санкт-Петербурга от 01.02.2024 № 167-рп
"Об утверждении границ и режима использования территории объекта культурного наследия федерального значения "Дом Яковлевой В.А. (Серебряковой О.В.)"
(Зарегистрирован 02.02.2024 № 36934)
Номер опубликования: 7801202402070012
Дата опубликования: 07.02.2024
Страница №4 из 5:
Увеличить