Официальное опубликование правовых актов
ОФИЦИАЛЬНОЕ ОПУБЛИКОВАНИЕ
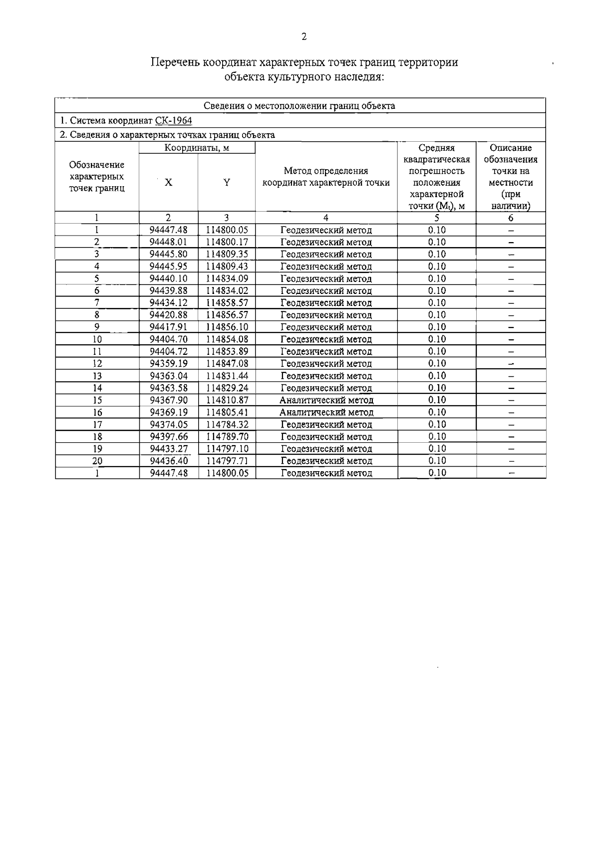
Распоряжение Комитета по государственному контролю, использованию и охране памятников истории и культуры Санкт-Петербурга от 01.02.2024 № 166-рп
"Об утверждении границ и режима использования территории объекта культурного наследия федерального значения "Ордонансгауз (Комендантское управление)"
(Зарегистрирован 02.02.2024 № 36933)
Номер опубликования: 7801202402070011
Дата опубликования: 07.02.2024
Страница №4 из 5:
Увеличить