Официальное опубликование правовых актов
ОФИЦИАЛЬНОЕ ОПУБЛИКОВАНИЕ
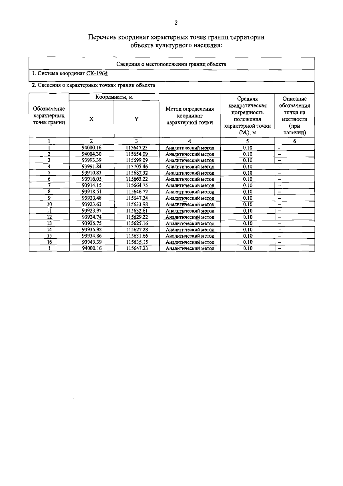
Распоряжение Комитета по государственному контролю, использованию и охране памятников истории и культуры Санкт-Петербурга от 24.01.2024 № 124-рп
"Об утверждении границ и режима использования территории объекта культурного наследия федерального значения "Дом Петрово-Соловово (Юсуповой З.Н.)"
(Зарегистрирован 25.01.2024 № 36873)
Номер опубликования: 7801202401290025
Дата опубликования: 29.01.2024
Страница №4 из 5:
Увеличить