Официальное опубликование правовых актов
ОФИЦИАЛЬНОЕ ОПУБЛИКОВАНИЕ
Распоряжение Администрации Приморского района Санкт-Петербурга от 25.12.2023 № 1718-р
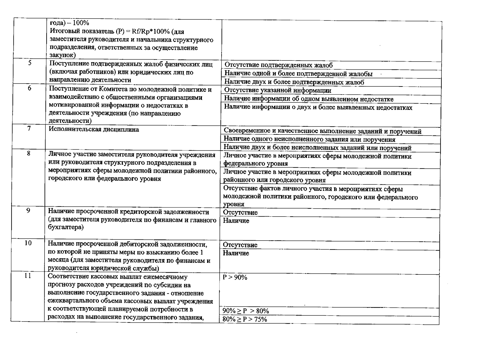
"Об утверждении Положения о порядке оценки эффективности труда работников (кроме руководителя) учреждений по делам молодежи, подведомственных администрации Приморского района Санкт-Петербурга"
(Зарегистрирован 11.01.2024 № 36705)
Номер опубликования: 7801202401150003
Дата опубликования: 15.01.2024
Страница №10 из 37:
Увеличить