Официальное опубликование правовых актов
ОФИЦИАЛЬНОЕ ОПУБЛИКОВАНИЕ
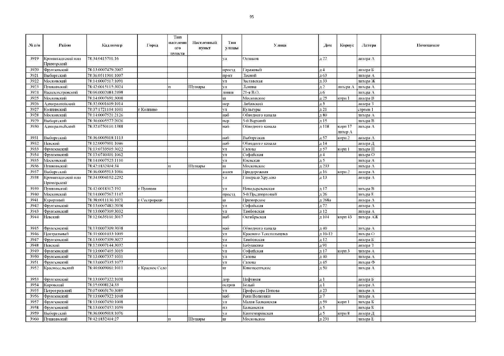
Приказ Комитета по контролю за имуществом Санкт-Петербурга от 25.12.2023 № 189-п
"Об определении Перечня объектов недвижимого имущества, в отношении которых налоговая база определяется как кадастровая стоимость, на 2024 год"
(Зарегистрирован 29.12.2023 № 36658)
Номер опубликования: 7801202312290104
Дата опубликования: 29.12.2023
Страница №96 из 133:
Увеличить