Официальное опубликование правовых актов
ОФИЦИАЛЬНОЕ ОПУБЛИКОВАНИЕ
Распоряжение Администрации Курортного района Санкт-Петербурга от 18.12.2023 № 2383-p/23
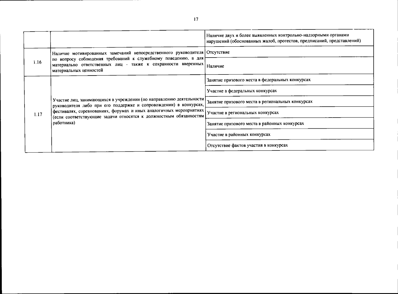
"Об утверждении Положения о порядке оценки эффективности труда работников (кроме руководителя) учреждений по делам молодежи, подведомственных администрации Курортного района Санкт-Петербурга"
(Зарегистрирован 21.12.2023 № 36549)
Номер опубликования: 7801202312220019
Дата опубликования: 22.12.2023
Страница №25 из 36:
Увеличить