Официальное опубликование правовых актов
ОФИЦИАЛЬНОЕ ОПУБЛИКОВАНИЕ
Распоряжение Комитета по экономической политике и стратегическому планированию Санкт-Петербурга от 15.12.2023 № 270-р
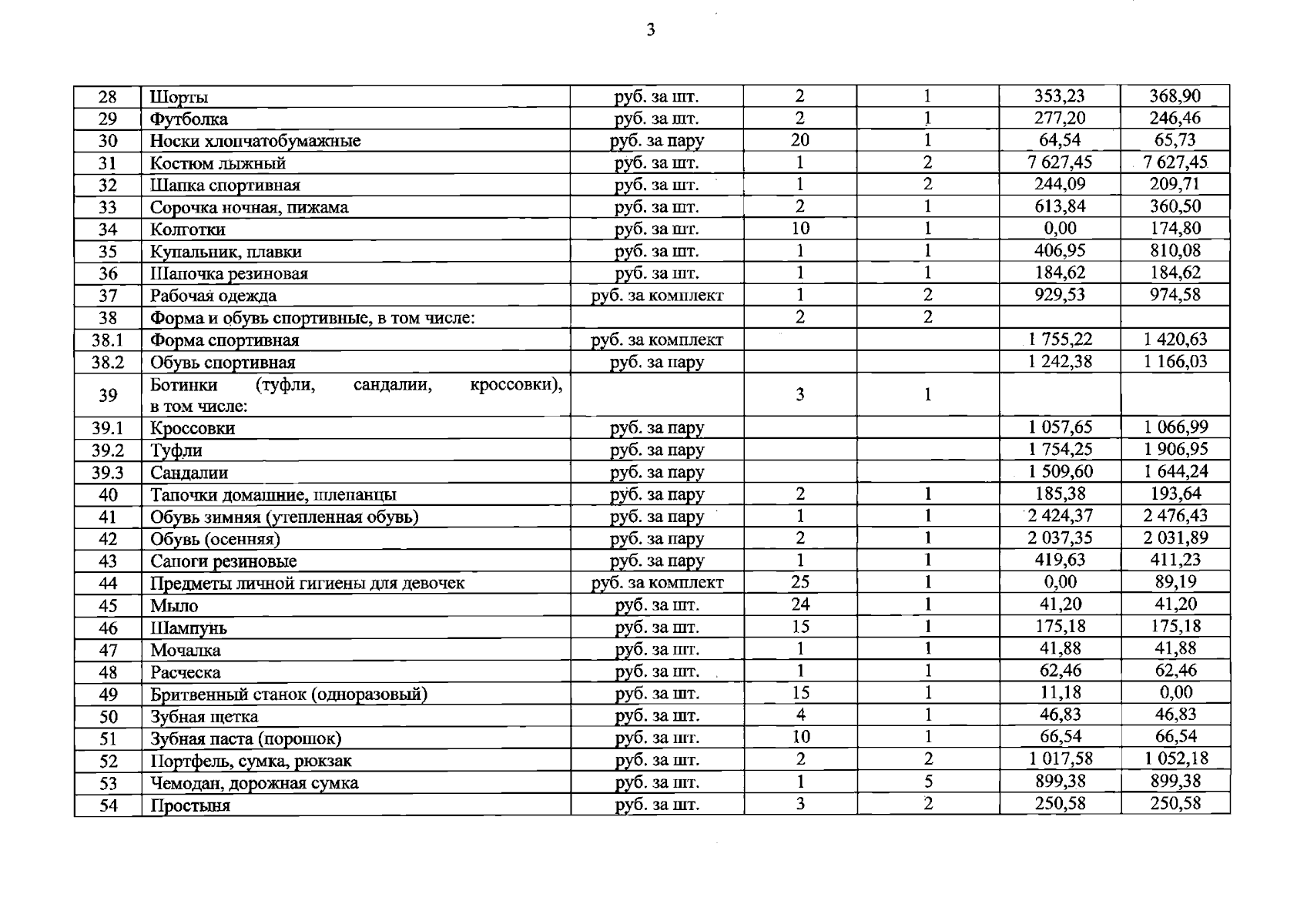
"Об утверждении нормативов финансовых затрат бюджета Санкт-Петербурга на возмещение полной стоимости питания, комплекта одежды, обуви, мягкого инвентаря и оборудования лицам из числа детей-сирот и детей, оставшихся без попечения родителей, лицам, потерявшим в период обучения обоих родителей или единственного родителя, обучающимся по очной форме обучения в государственных образовательных учреждениях, реализующих основные профессиональные образовательные программы и(или) программы профессиональной подготовки по профессиям рабочих, должностям служащих, за исключением лиц, которым предоставлено полное государственное обеспечение на период их обучения в государственных образовательных учреждениях, реализующих основные профессиональные образовательные программы и(или) программы профессиональной подготовки по профессиям рабочих, должностям служащих, на 2024 год"
(Зарегистрирован 19.12.2023 № 36533)
Номер опубликования: 7801202312210009
Дата опубликования: 21.12.2023
Страница №5 из 6:
Увеличить