Официальное опубликование правовых актов
ОФИЦИАЛЬНОЕ ОПУБЛИКОВАНИЕ
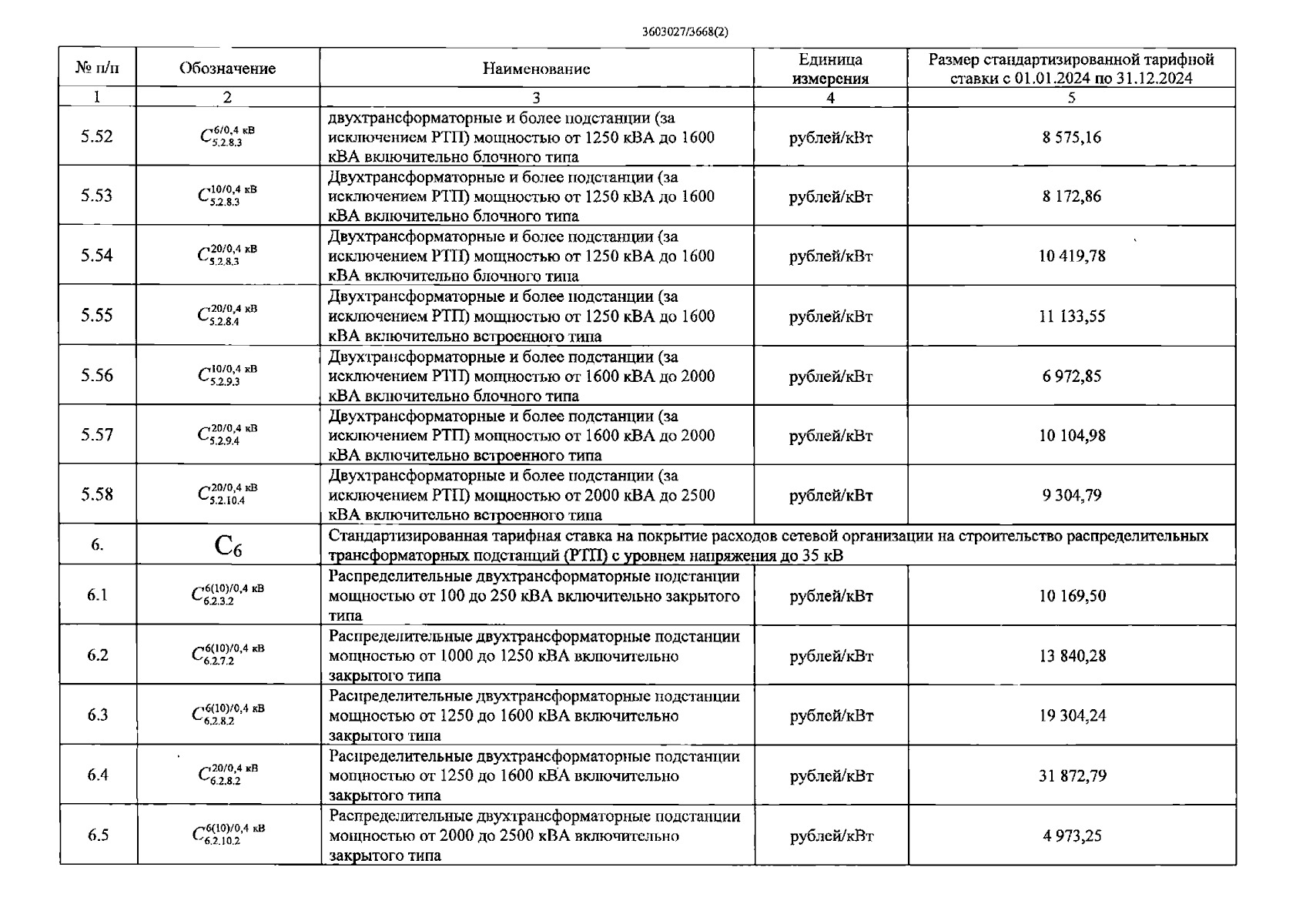
Распоряжение Комитета по тарифам Санкт-Петербурга от 29.11.2023 № 198-р
"Об установлении стандартизированных тарифных ставок, формул для расчета платы за технологическое присоединение к электрическим сетям территориальных сетевых организаций на территории Санкт-Петербурга на 2024 год"
(Зарегистрирован 04.12.2023 № 36302)
Номер опубликования: 7801202312070029
Дата опубликования: 07.12.2023
Страница №24 из 27:
Увеличить