Официальное опубликование правовых актов
ОФИЦИАЛЬНОЕ ОПУБЛИКОВАНИЕ
Распоряжение Комитета по природопользованию, охране окружающей среды и обеспечению экологической безопасности Санкт-Петербурга от 16.10.2023 № 310-р
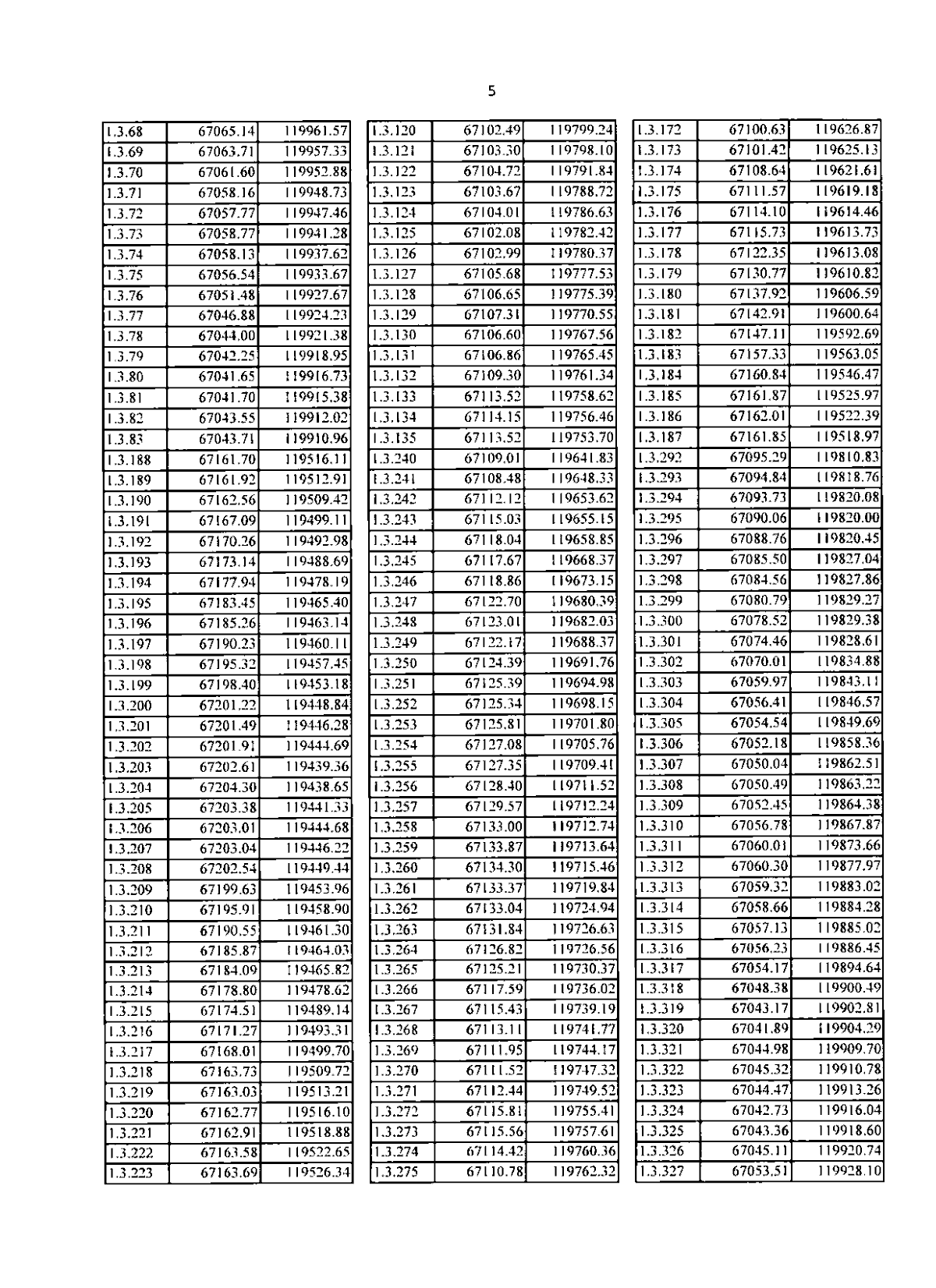
"Об уточнении местоположения береговой линии (границы водного объекта), границы водоохранной зоны и границы прибрежной защитной полосы Тярлевского ручья (ИД 1350) на территории Санкт-Петербурга"
(Зарегистрирован 19.10.2023 № 36075)
Номер опубликования: 7801202310240001
Дата опубликования: 24.10.2023
Страница №7 из 99:
Увеличить