Официальное опубликование правовых актов
ОФИЦИАЛЬНОЕ ОПУБЛИКОВАНИЕ
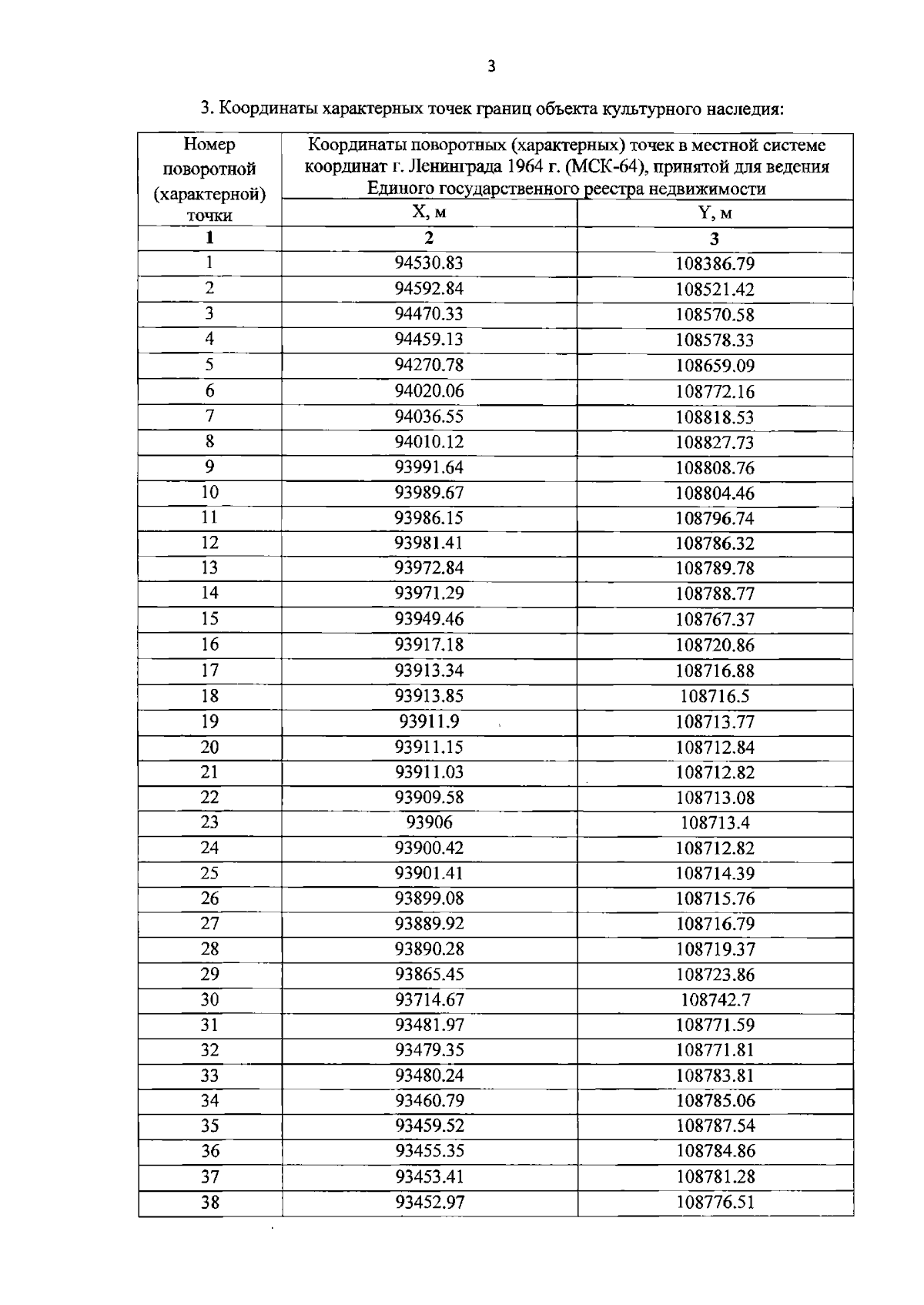
Распоряжение Комитета по государственному контролю, использованию и охране памятников истории и культуры Санкт-Петербурга от 28.09.2023 № 809-рп
"Об утверждении границ и режима использования территории объекта культурного наследия федерального значения "Галерная гавань Гребного порта"
(Зарегистрирован 02.10.2023 № 35985)
Номер опубликования: 7801202310050002
Дата опубликования: 05.10.2023
Страница №5 из 8:
Увеличить