Официальное опубликование правовых актов
ОФИЦИАЛЬНОЕ ОПУБЛИКОВАНИЕ
Распоряжение Архивного комитета Санкт-Петербурга от 28.08.2020 № 64
"О внесении изменений в распоряжение Архивного комитета Санкт-Петербурга от 02.02.2012 №11"
(Зарегистрирован 25.09.2023 № 35940)
Номер опубликования: 7801202309280005
Дата опубликования: 28.09.2023
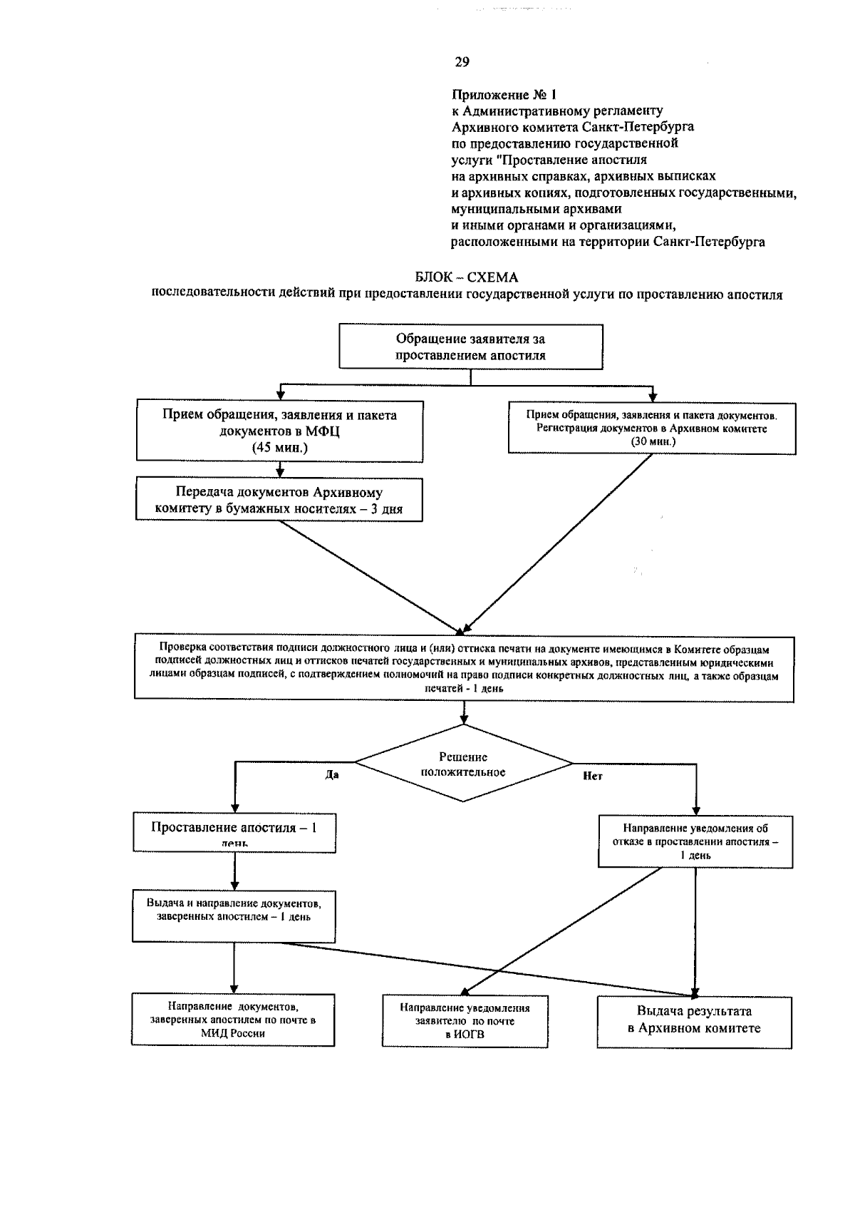
Страница №29 из 35:
Увеличить