Официальное опубликование правовых актов
ОФИЦИАЛЬНОЕ ОПУБЛИКОВАНИЕ
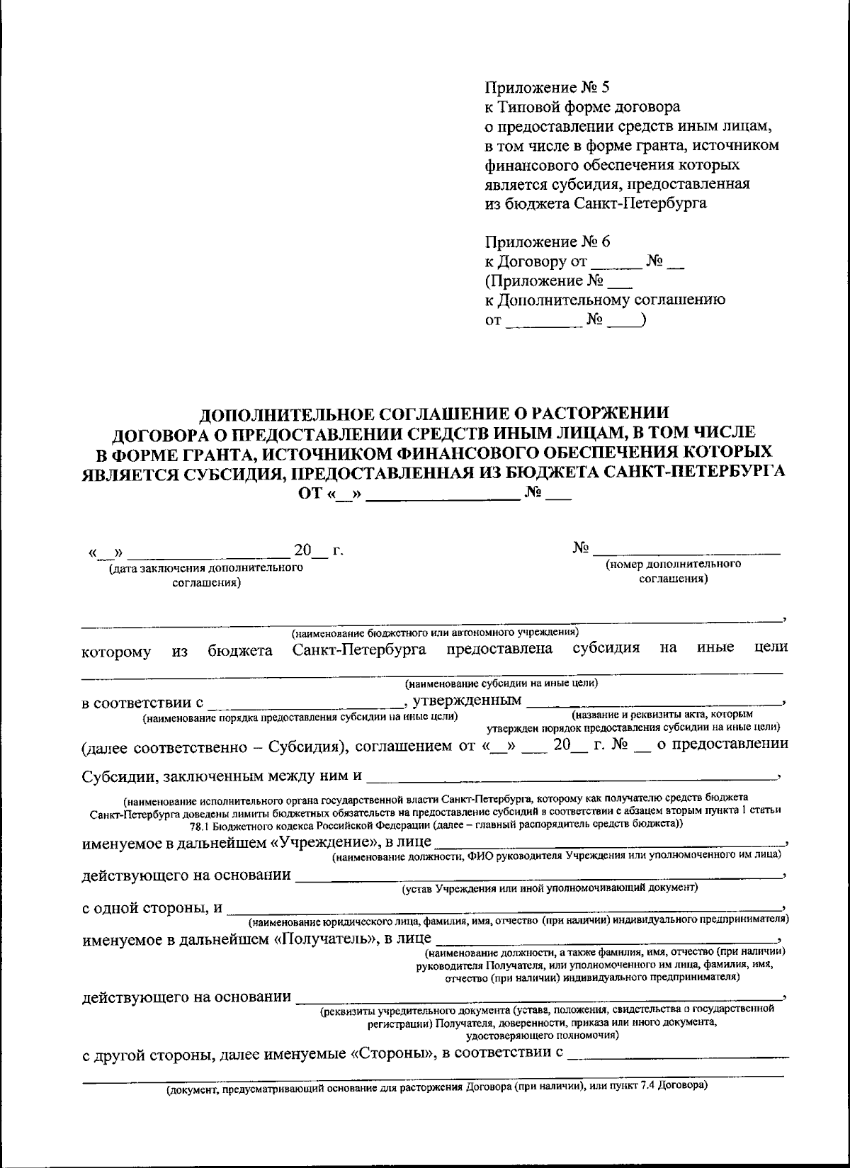
Распоряжение Комитета финансов Санкт-Петербурга от 08.09.2023 № 60-р
"Об утверждении типовой формы договора о предоставлении средств иным лицам, в том числе в форме гранта, источником финансового обеспечения которых является субсидия, предоставленная из бюджета Санкт-Петербурга"
(Зарегистрирован 12.09.2023 № 35885)
Номер опубликования: 7801202309120006
Дата опубликования: 12.09.2023
Страница №19 из 21:
Увеличить