Официальное опубликование правовых актов
ОФИЦИАЛЬНОЕ ОПУБЛИКОВАНИЕ
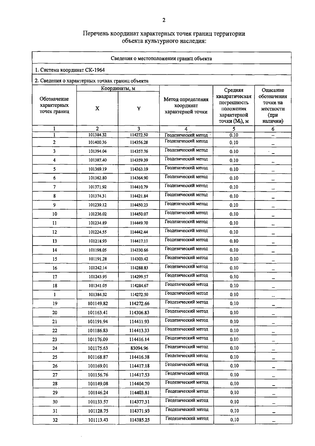
Распоряжение Комитета по государственному контролю, использованию и охране памятников истории и культуры Санкт-Петербурга от 30.08.2023 № 792-рп
"Об утверждении границ и режима использования территории объекта культурного наследия регионального значения "Дом Ланских (комплекс с парком в границах от Б.Сампсониевского пр., 108 до пр. Энгельса, 6 и Октябрьской ж.д., с двумя прудами и оградой)"
(Зарегистрирован 04.09.2023 № 35847)
Номер опубликования: 7801202309070004
Дата опубликования: 07.09.2023
Страница №4 из 6:
Увеличить