Официальное опубликование правовых актов
ОФИЦИАЛЬНОЕ ОПУБЛИКОВАНИЕ
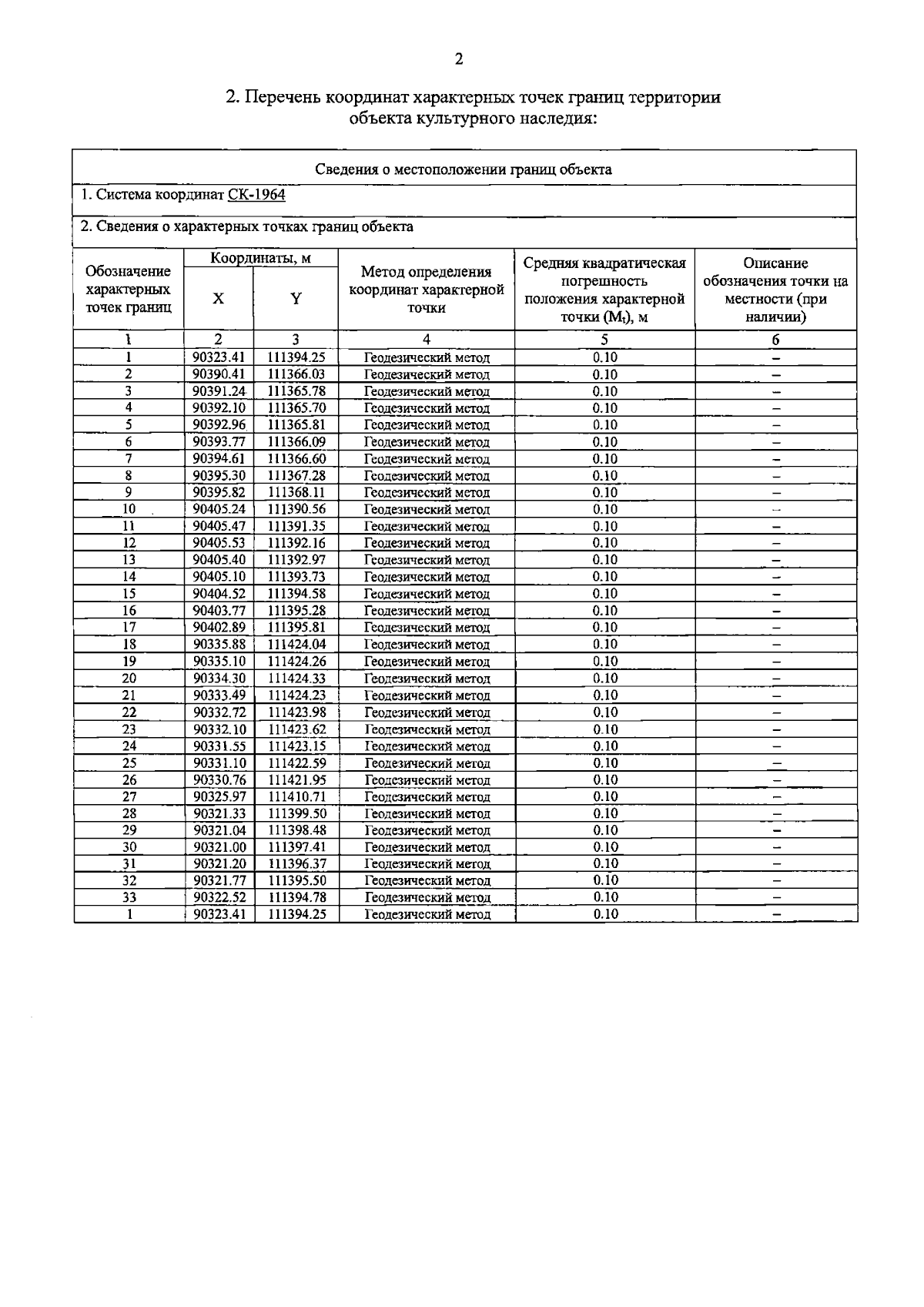
Распоряжение Комитета по государственному контролю, использованию и охране памятников истории и культуры Санкт-Петербурга от 17.08.2023 № 755-рп
"Об утверждении границ и режима использования территории объекта культурного наследия федерального значения "Ворота Триумфальные Нарвские"
(Зарегистрирован 18.08.2023 № 35727)
Номер опубликования: 7801202308240010
Дата опубликования: 24.08.2023
Страница №4 из 5:
Увеличить