Официальное опубликование правовых актов
ОФИЦИАЛЬНОЕ ОПУБЛИКОВАНИЕ
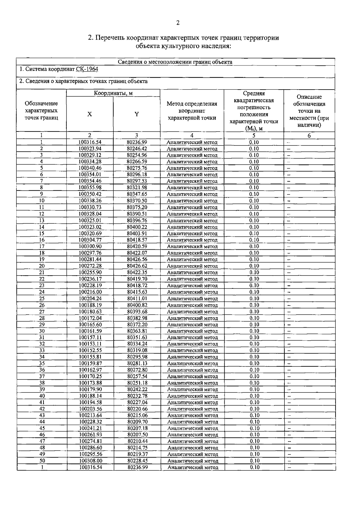
Распоряжение Комитета по государственному контролю, использованию и охране памятников истории и культуры Санкт-Петербурга от 17.08.2023 № 750-рп
"Об утверждении границ и режима использования территории объекта культурного наследия федерального значения "Форт "Александр I"
(Зарегистрирован 18.08.2023 № 35722)
Номер опубликования: 7801202308240005
Дата опубликования: 24.08.2023
Страница №4 из 5:
Увеличить