Официальное опубликование правовых актов
ОФИЦИАЛЬНОЕ ОПУБЛИКОВАНИЕ
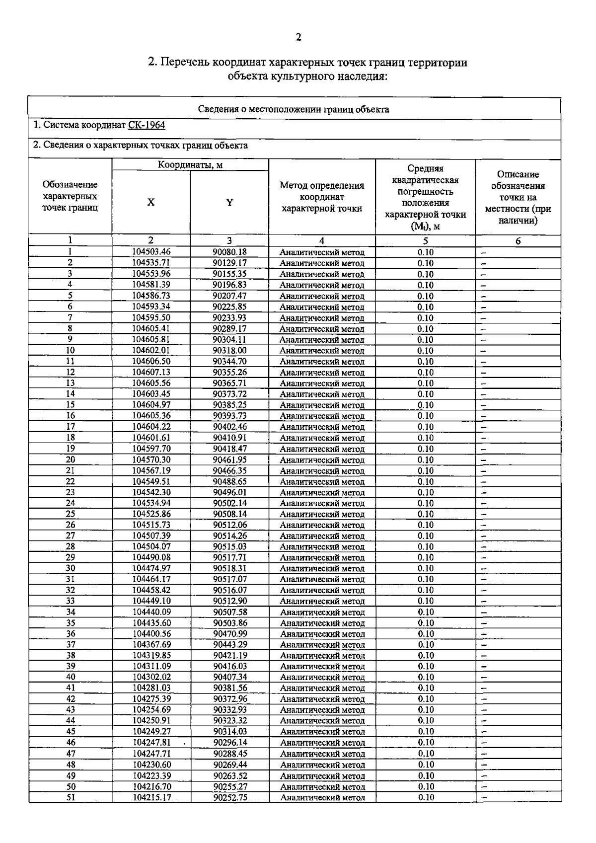
Распоряжение Комитета по государственному контролю, использованию и охране памятников истории и культуры Санкт-Петербурга от 17.08.2023 № 752-рп
"Об утверждении границ и режима использования территории объекта культурного наследия федерального значения "Батарея северная № 6"
(Зарегистрирован 18.08.2023 № 35724)
Номер опубликования: 7801202308230026
Дата опубликования: 23.08.2023
Страница №4 из 6:
Увеличить