Официальное опубликование правовых актов
ОФИЦИАЛЬНОЕ ОПУБЛИКОВАНИЕ
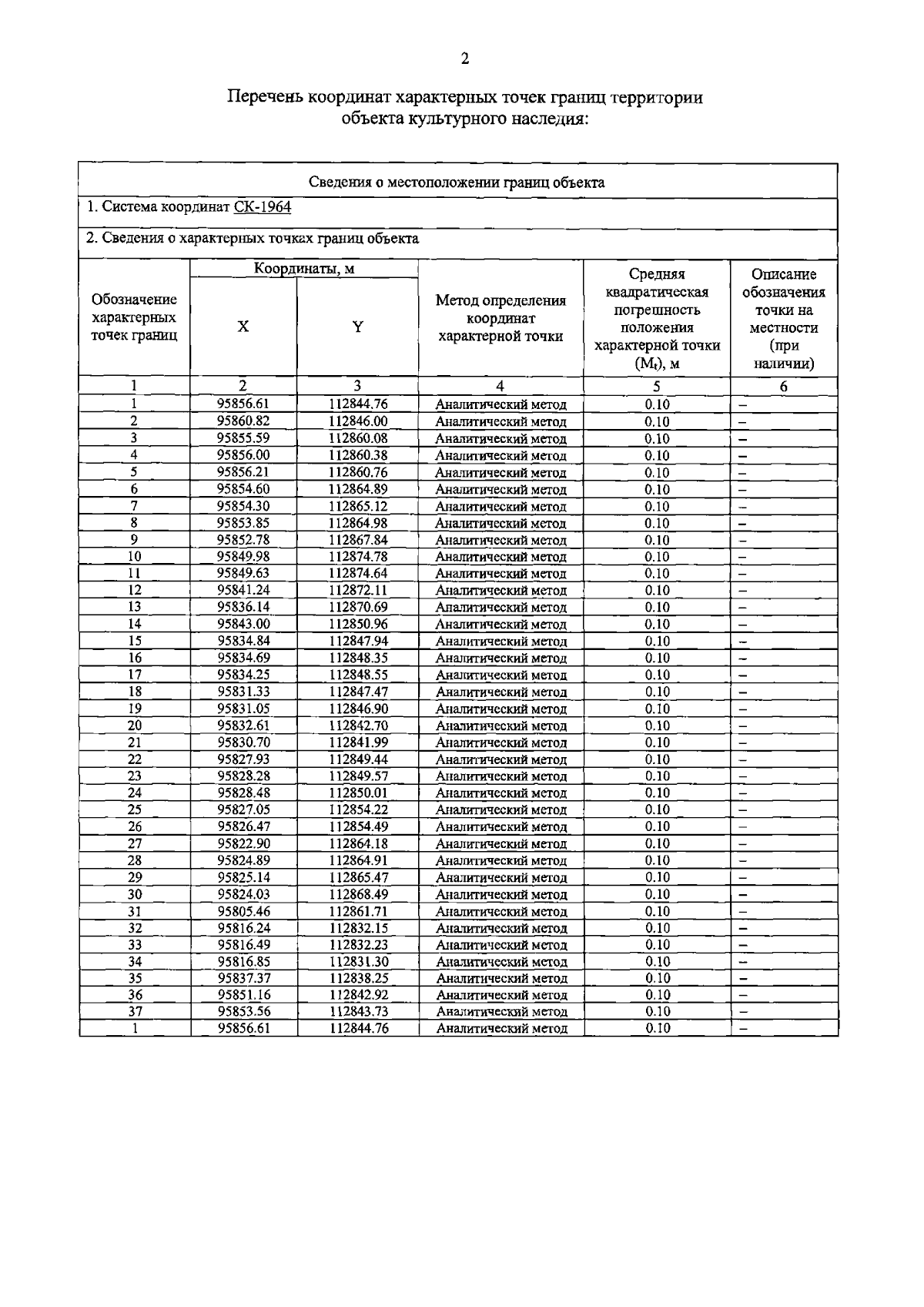
Распоряжение Комитета по государственному контролю, использованию и охране памятников истории и культуры Санкт-Петербурга от 16.08.2023 № 742-рп
"Об утверждении границ и режима использования территории объекта культурного наследия регионального значения "Дом, где в 1914-1949 гг. жил гидроэнергетик Графтио Генрих Осипович"
(Зарегистрирован 18.08.2023 № 35714)
Номер опубликования: 7801202308230017
Дата опубликования: 23.08.2023
Страница №4 из 5:
Увеличить