Официальное опубликование правовых актов
ОФИЦИАЛЬНОЕ ОПУБЛИКОВАНИЕ
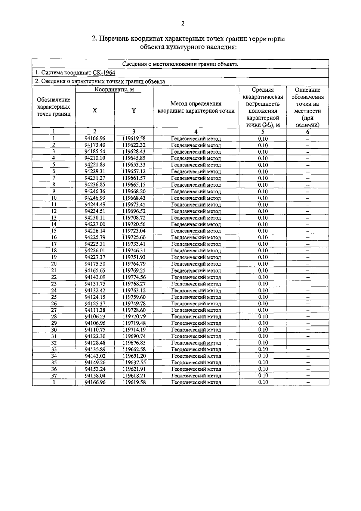
Распоряжение Комитета по государственному контролю, использованию и охране памятников истории и культуры Санкт-Петербурга от 10.08.2023 № 718-рп
"Об утверждении границ и режима использования территории объекта культурного наследия федерального значения "Уткина дача"
(Зарегистрирован 11.08.2023 № 35660)
Номер опубликования: 7801202308140025
Дата опубликования: 14.08.2023
Страница №4 из 5:
Увеличить