Официальное опубликование правовых актов
ОФИЦИАЛЬНОЕ ОПУБЛИКОВАНИЕ
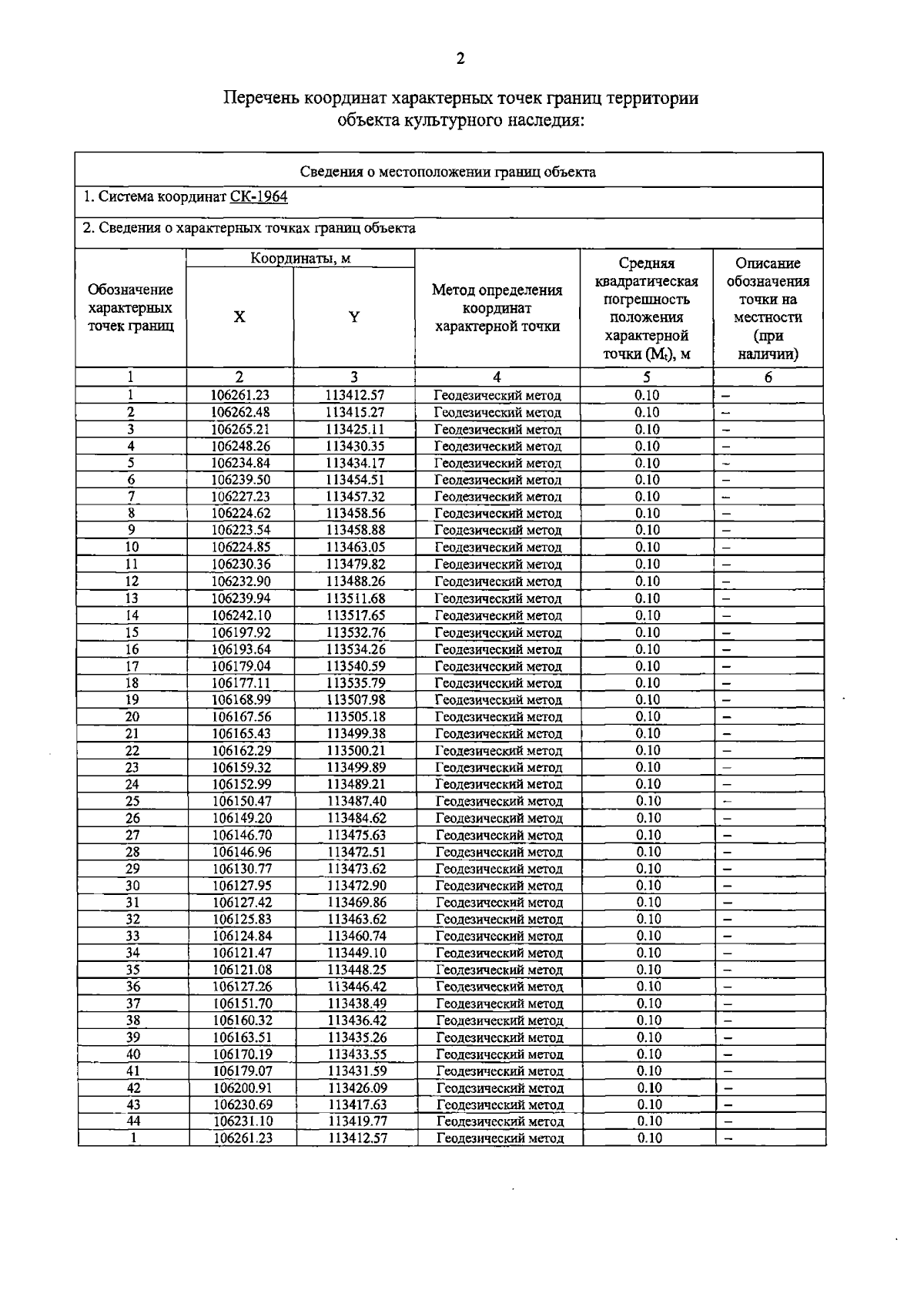
Распоряжение Комитета по государственному контролю, использованию и охране памятников истории и культуры Санкт-Петербурга от 09.08.2023 № 710-рп
"Об утверждении границ и режима использования территории объекта культурного наследия регионального значения "Дача Леснер с участком"
(Зарегистрирован 10.08.2023 № 35644)
Номер опубликования: 7801202308140004
Дата опубликования: 14.08.2023
Страница №4 из 5:
Увеличить