Официальное опубликование правовых актов
ОФИЦИАЛЬНОЕ ОПУБЛИКОВАНИЕ
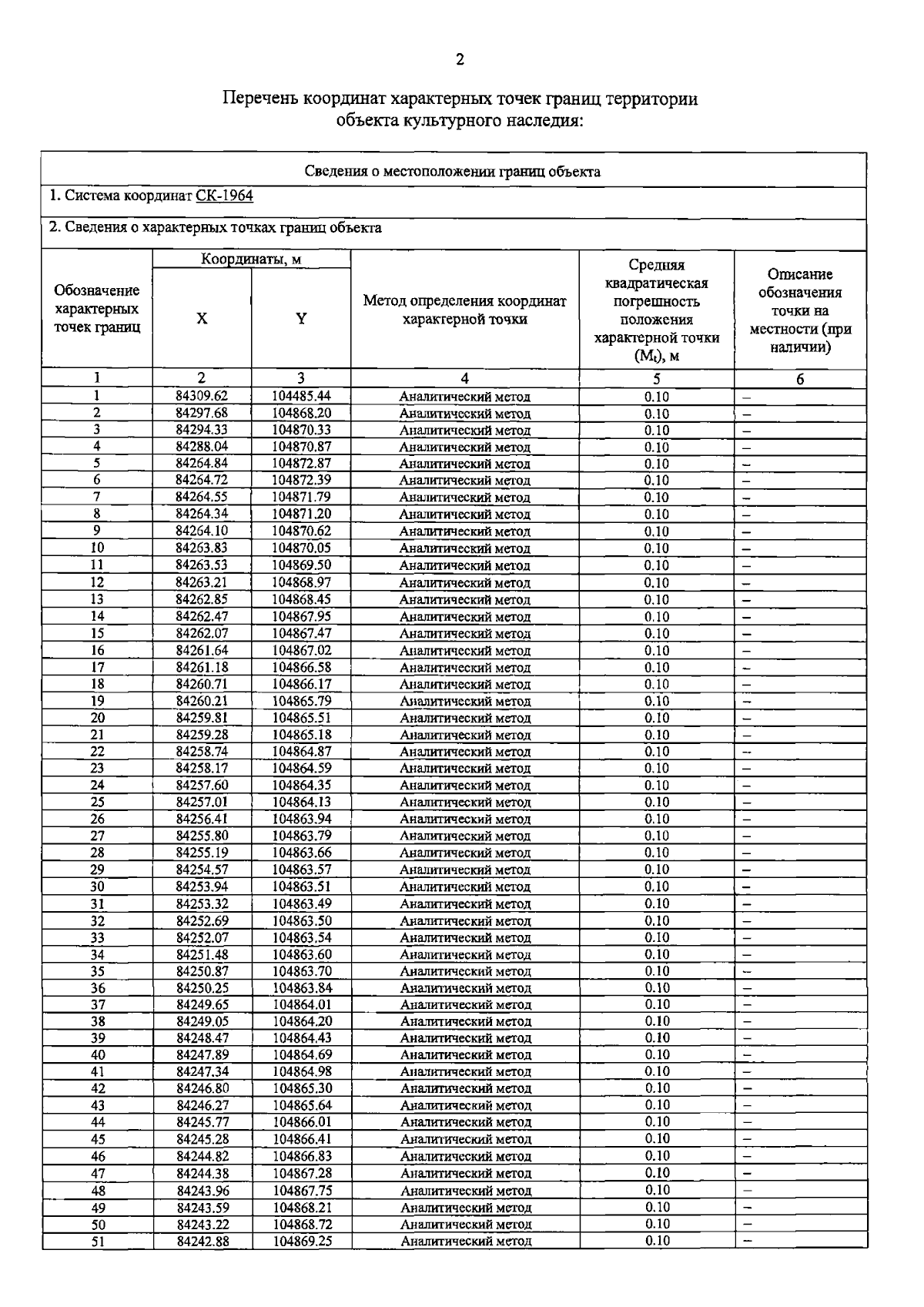
Распоряжение Комитета по государственному контролю, использованию и охране памятников истории и культуры Санкт-Петербурга от 09.08.2023 № 711-рп
"Об утверждении границ и режима использования территории объекта культурного наследия регионального значения "Дача Эбсворт ("Литания")"
(Зарегистрирован 10.08.2023 № 35645)
Номер опубликования: 7801202308140003
Дата опубликования: 14.08.2023
Страница №4 из 7:
Увеличить