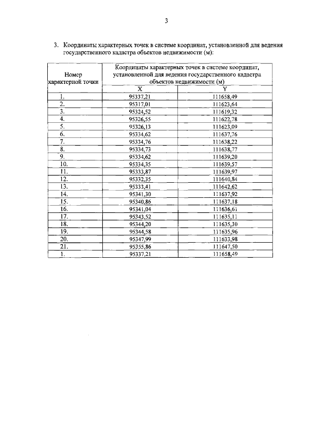
Распоряжение Комитета по государственному контролю, использованию и охране памятников истории и культуры Санкт-Петербурга от 01.08.2023 № 648-рп
"О внесении изменения в распоряжение КГИОП от 21.07.2022 № 358-рп"
(Зарегистрирован 03.08.2023 № 35556)
"О внесении изменения в распоряжение КГИОП от 21.07.2022 № 358-рп"
(Зарегистрирован 03.08.2023 № 35556)
Номер опубликования: 7801202308070063
Дата опубликования:
07.08.2023
