Официальное опубликование правовых актов
ОФИЦИАЛЬНОЕ ОПУБЛИКОВАНИЕ
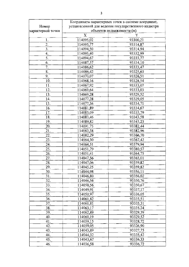
Распоряжение Комитета по государственному контролю, использованию и охране памятников истории и культуры Санкт-Петербурга от 28.07.2023 № 644-рп
"О включении в перечень выявленных объектов культурного наследия объектов, обладающих признаками объекта культурного наследия, "Здание Лечебного корпуса Сестрорецкого Курорта" и "Парадная арка входа в санаторий", об утверждении границ территории объектов культурного наследия, об отказе во включении в указанный перечень объектов, обладающих признаками объекта культурного наследия, расположенных по адресам: Санкт-Петербург, г. Сестрорецк, улица Максима Горького, дом 2, литеры К, Д, парк санатория"
(Зарегистрирован 02.08.2023 № 35544)
Номер опубликования: 7801202308070020
Дата опубликования: 07.08.2023
Страница №5 из 6:
Увеличить