Официальное опубликование правовых актов
ОФИЦИАЛЬНОЕ ОПУБЛИКОВАНИЕ
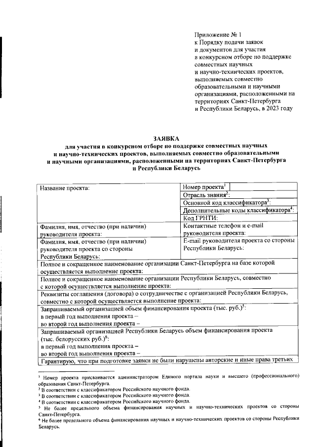
Распоряжение Комитета по науке и высшей школе Санкт-Петербурга от 28.07.2023 № 146
"О порядке подачи заявок и документов для участия в конкурсном отборе по поддержке совместных научных и научно-технических проектов, выполняемых совместно образовательными и научными организациями, расположенными на территориях Санкт-Петербурга и Республики Беларусь, в 2023 году"
(Зарегистрирован 01.08.2023 № 35536)
Номер опубликования: 7801202308020001
Дата опубликования: 02.08.2023
Страница №4 из 22:
Увеличить