Официальное опубликование правовых актов
ОФИЦИАЛЬНОЕ ОПУБЛИКОВАНИЕ
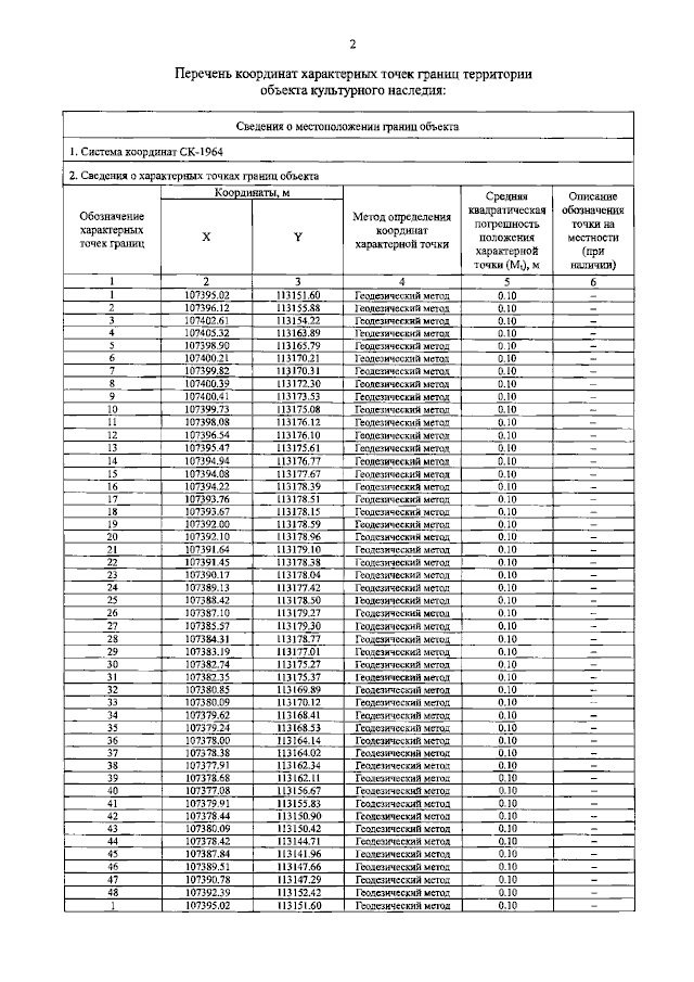
Распоряжение Комитета по государственному контролю, использованию и охране памятников истории и культуры Санкт-Петербурга от 18.07.2023 № 617-рп
"Об утверждении границ и режима использования территории объекта культурного наследия регионального значения "Церковь Спаса Нерукотворного (Спасо-Парголовская)"
(Зарегистрирован 18.07.2023 № 35454)
Номер опубликования: 7801202307190040
Дата опубликования: 19.07.2023
Страница №4 из 5:
Увеличить