Официальное опубликование правовых актов
ОФИЦИАЛЬНОЕ ОПУБЛИКОВАНИЕ
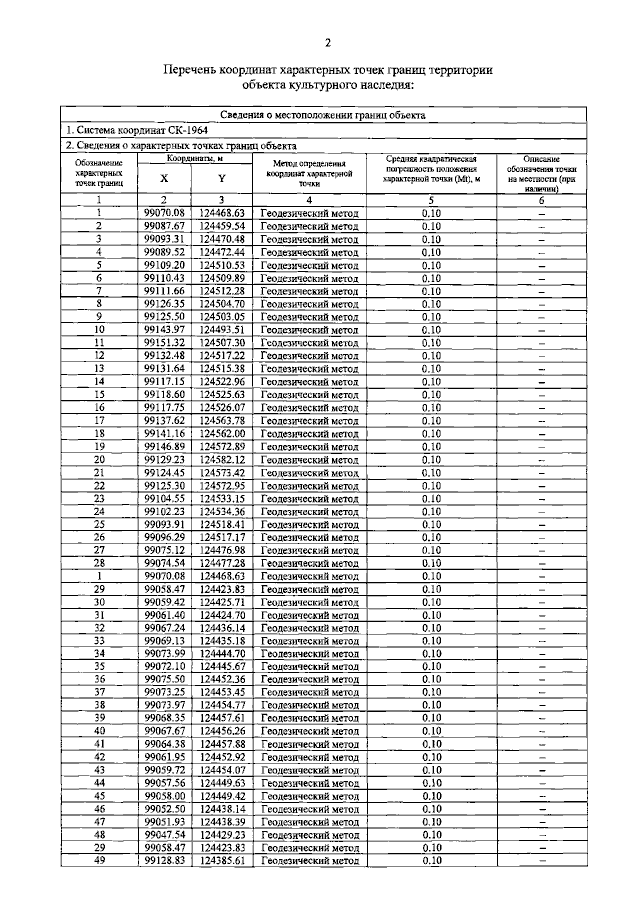
Распоряжение Комитета по государственному контролю, использованию и охране памятников истории и культуры Санкт-Петербурга от 17.07.2023 № 606-рп
"Об утверждении границ и режима использования территории объекта культурного наследия регионального значения "Комплекс построек Главного артиллерийского и Морского полигонов"
(Зарегистрирован 18.07.2023 № 35442)
Номер опубликования: 7801202307190035
Дата опубликования: 19.07.2023
Страница №4 из 8:
Увеличить