Официальное опубликование правовых актов
ОФИЦИАЛЬНОЕ ОПУБЛИКОВАНИЕ
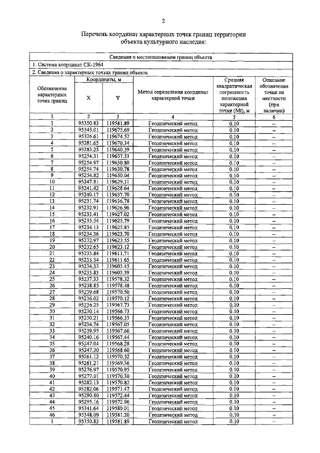
Распоряжение Комитета по государственному контролю, использованию и охране памятников истории и культуры Санкт-Петербурга от 17.07.2023 № 605-рп
"Об утверждении границ и режима использования территории объекта культурного наследия регионального значения "Дом бесплатных квартир Елисеевых (2, 3 и 4-этажные корпуса, часовня с территорией и оградой)"
(Зарегистрирован 18.07.2023 № 35441)
Номер опубликования: 7801202307190029
Дата опубликования: 19.07.2023
Страница №4 из 5:
Увеличить