Официальное опубликование правовых актов
ОФИЦИАЛЬНОЕ ОПУБЛИКОВАНИЕ
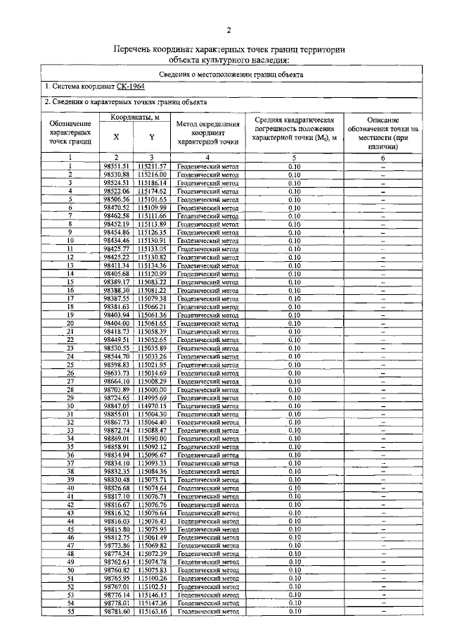
Распоряжение Комитета по государственному контролю, использованию и охране памятников истории и культуры Санкт-Петербурга от 12.07.2023 № 570-рп
"Об утверждении границ и режима использования территории объекта культурного наследия регионального значения "Казармы лейб-гвардии Московского (Литовского) полка (десять зданий, сад)"
(Зарегистрирован 12.07.2023 № 35391)
Номер опубликования: 7801202307150003
Дата опубликования: 15.07.2023
Страница №4 из 6:
Увеличить