Официальное опубликование правовых актов
ОФИЦИАЛЬНОЕ ОПУБЛИКОВАНИЕ
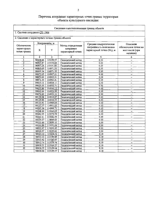
Распоряжение Комитета по государственному контролю, использованию и охране памятников истории и культуры Санкт-Петербурга от 12.07.2023 № 571-рп
"Об утверждении границ и режима использования территории объекта культурного наследия регионального значения "Детская городская больница в память Священного коронования Их Императорских Величеств (двенадцать зданий, сад с оградой)"
(Зарегистрирован 12.07.2023 № 35392)
Номер опубликования: 7801202307150002
Дата опубликования: 15.07.2023
Страница №4 из 5:
Увеличить