Официальное опубликование правовых актов
ОФИЦИАЛЬНОЕ ОПУБЛИКОВАНИЕ
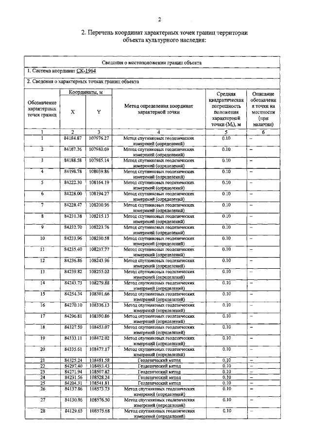
Распоряжение Комитета по государственному контролю, использованию и охране памятников истории и культуры Санкт-Петербурга от 10.07.2023 № 561-рп
"Об утверждении границ и режима использования территории объекта культурного наследия федерального значения "Дача Чернышева И.Г. "Александрино"
(Зарегистрирован 11.07.2023 № 35371)
Номер опубликования: 7801202307140006
Дата опубликования: 14.07.2023
Страница №4 из 8:
Увеличить