Официальное опубликование правовых актов
ОФИЦИАЛЬНОЕ ОПУБЛИКОВАНИЕ
Распоряжение Жилищного комитета Санкт-Петербурга от 07.07.2023 № 729-р
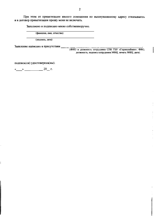
"Об утверждении Административного регламента Жилищного комитета по предоставлению государственной услуги по передаче жилых помещений государственного жилищного фонда Санкт-Петербурга в собственность граждан в порядке приватизации на основании документов, представляемых Санкт-Петербургским государственным бюджетным учреждением "Горжилобмен", заключению в установленном порядке договоров приватизации государственного жилищного фонда Санкт-Петербурга с гражданами, занимающими жилые помещения государственного жилищного фонда Санкт-Петербурга на основании договоров социального найма"
(Зарегистрирован 07.07.2023 № 35347)
Номер опубликования: 7801202307120004
Дата опубликования: 12.07.2023
Страница №45 из 53:
Увеличить