Официальное опубликование правовых актов
ОФИЦИАЛЬНОЕ ОПУБЛИКОВАНИЕ
Распоряжение Комитета по государственному контролю, использованию и охране памятников истории и культуры Санкт-Петербурга от 03.07.2023 № 509-рп
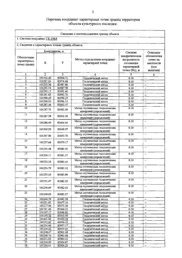
"Об утверждении границ и режима использования территории объекта культурного наследия регионального значения "Комплекс построек Владимирского собора с часовней, домом церковнослужителей, службой, садом и оградой"
(Зарегистрирован 03.07.2023 № 35298)
Номер опубликования: 7801202307060009
Дата опубликования: 06.07.2023
Страница №4 из 6:
Увеличить