Официальное опубликование правовых актов
ОФИЦИАЛЬНОЕ ОПУБЛИКОВАНИЕ
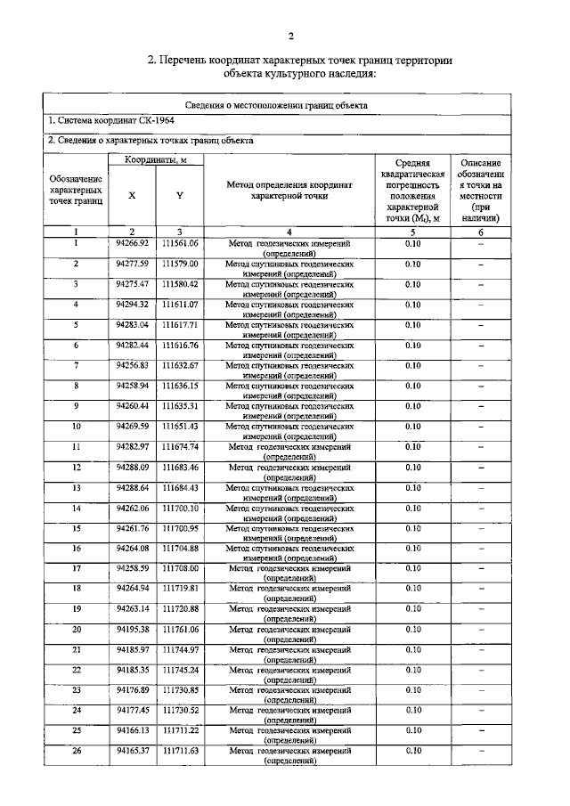
Распоряжение Комитета по государственному контролю, использованию и охране памятников истории и культуры Санкт-Петербурга от 29.06.2023 № 499-рп
"Об утверждении границ и режима использования территории объекта культурного наследия федерального значения "Морской кадетский корпус"
(Зарегистрирован 29.06.2023 № 35267)
Номер опубликования: 7801202307030010
Дата опубликования: 03.07.2023
Страница №4 из 6:
Увеличить