Официальное опубликование правовых актов
ОФИЦИАЛЬНОЕ ОПУБЛИКОВАНИЕ
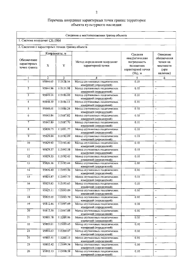
Распоряжение Комитета по государственному контролю, использованию и охране памятников истории и культуры Санкт-Петербурга от 27.06.2023 № 481-рп
"Об утверждении границ и режима использования территории объекта культурного наследия регионального значения "Особняк и доходный дом И.Е. Ритинга"
(Зарегистрирован 28.06.2023 № 35242)
Номер опубликования: 7801202306300025
Дата опубликования: 30.06.2023
Страница №4 из 6:
Увеличить