Официальное опубликование правовых актов
ОФИЦИАЛЬНОЕ ОПУБЛИКОВАНИЕ
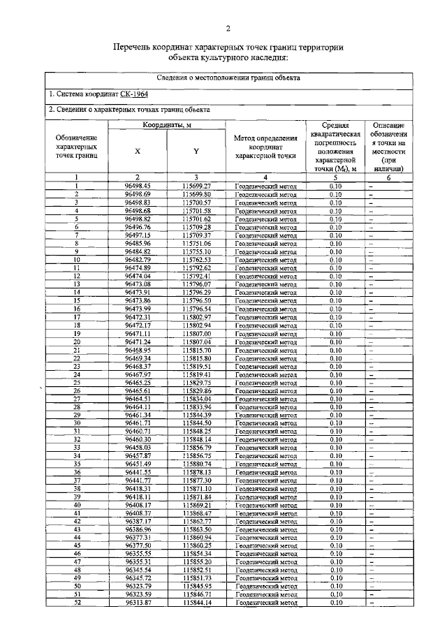
Распоряжение Комитета по государственному контролю, использованию и охране памятников истории и культуры Санкт-Петербурга от 28.06.2023 № 484-рп
"Об утверждении границ и режима использования территории объекта культурного наследия регионального значения "Академия Михайловская артиллерийская, где преподавали ученые Ленц Э.Х., Остроградский М.В., Петрушевский В.Ф."
(Зарегистрирован 29.06.2023 № 35256)
Номер опубликования: 7801202306300022
Дата опубликования: 30.06.2023
Страница №4 из 6:
Увеличить